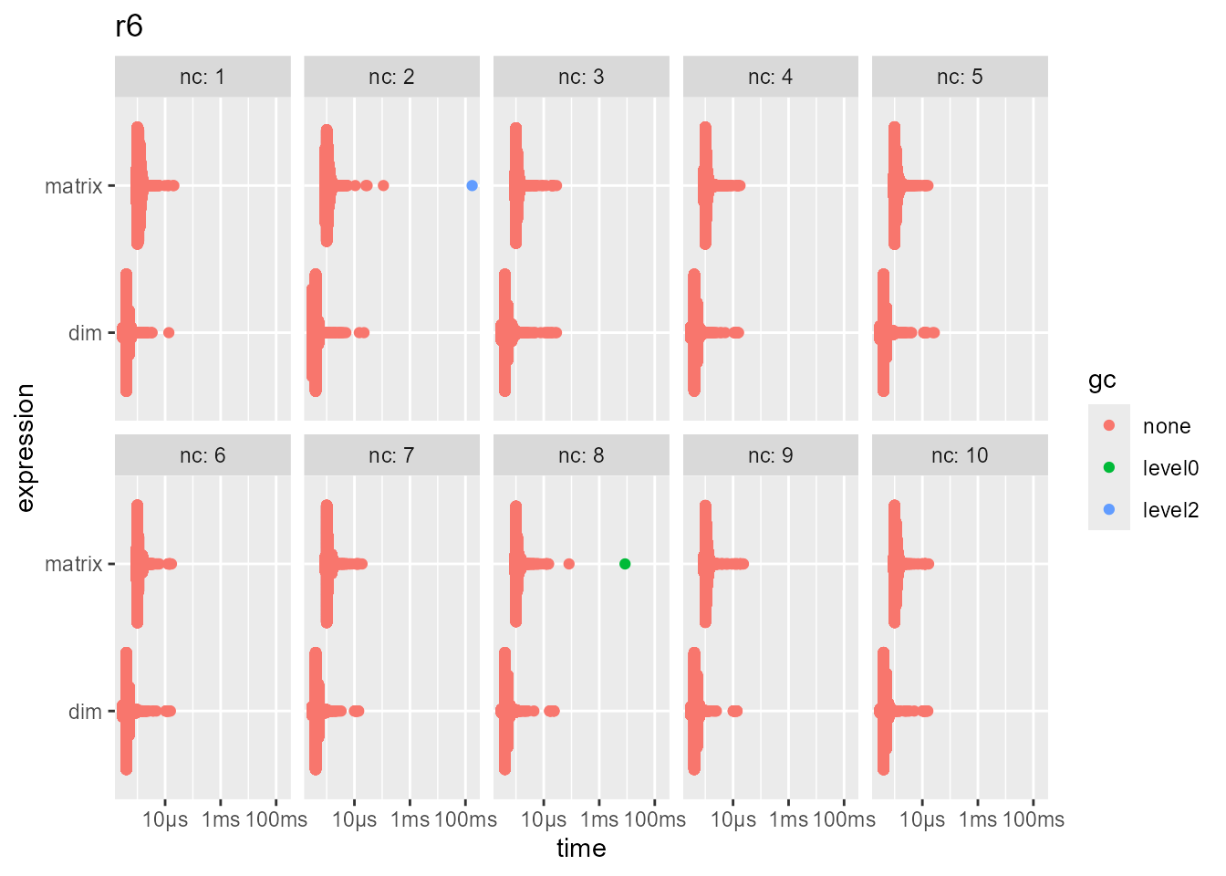
R byrowしないならmatrixよりdim<-の方が速そう

Benchmark: `dim<-`() vs matrix()`dim<-`() Seems Faster When Row-Wise Filling Isn’t Needed

R memo
Base R
bench mark
Published

2026-04-11

Abstract

シミュレーションとかで何万回~も回す人向け。Rで行列を作るときに、要素をbyrowで入れないなら`dim<-`()使う方が速い。